BikersAgainstPredators
Law & Crime
Bikers Against Predators is a 501c3 Non-Profit organization that is acting against online child predators. B.A.P.'s mission is to expose online predators to help spread awareness and education to as many citizens as possible while having these predators face justice for their crimes.
Interested? Want to learn more about the community?

Learn more first
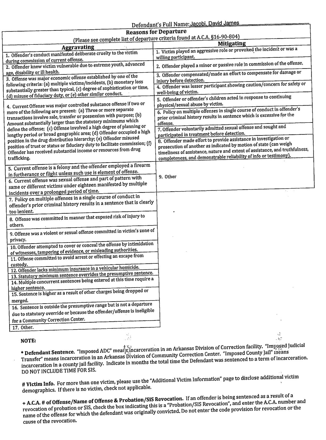
Catch 446 Update

David of Bentonville, AR has been SENTENCED! He pled guilty to 5 of 30 counts of CP. he will serve a total of 25 years!
Link to catch:
https://bikersagainstpredators.locals.com/upost/6946532/catch-446

Interested? Want to learn more about the community?

Learn more first
What else you may like…
Videos
Posts
We tried

He is just a tweaker couch surfer..

00:05:43
Happy New Year

We thank you are loyal locals subs!! Excited to see what 2026 brings!!

00:03:09
Catch 494

Makes meet with 2–13-year-olds for sex and won't come to the door to explain himself.
This case has been taken over by the FBI

00:24:30
Im scared guy's..

I'm losing sleep over this and literally feel like someone's following me all day.. I will have to make a police report

Live on Kick

Building the platform!
Update on our threats!

Kick.com/Bikersagainstpredators

Catch 101 Update

Chad Omspacher of Ft Wayne Indiana has violated probation from our case and has been arrested. He will be back in court this week.
https://bikersagainstpredators.locals.com/upost/6851209/catch-101-chad-41-of-ft-wayne-in-meeting-a-14yo-with-clear-intentions

Available on mobile and TV devices
google store google store app store app store
google store google store app tv store app tv store amazon store amazon store roku store roku store
Powered by Locals